庭園日誌をご覧の皆様、こんにちは!
スタッフの【はしもと】です。
2月になりましたね!2月と言えば恵方巻...今年の恵方は当方苦闘ですね。皆さんはもう恵方巻は食べましたか?(はしもとはサーモンの恵方巻を食べました!!)

先日、人生で初めて回らないお寿司に連れて行っていただいたのですが、回らないお寿司の美味しいこと...!定期的に思い返しては、もうスーパーの割引されたパック寿司を食べてもおいしいと感じられないのではないか?という疑念に襲われる日々を過ごしていたのですが、恵方巻を食べたことによって安心しました(スーパーの企業努力に感謝!)
先日は竹と笹の違いについて、迫っていきましたね!(読んでいない方はこちら)
本日の記事では社長の言っていた「笹は初夏までは刈り込んでも芽が出るが、秋以降に強く刈り込むと芽が出なくなってしまう」という謎について迫っていきたいと思います!
目次
- 考察
- 最後に
考察
さて、ではここで社長が言っていた「笹は初夏までは刈り込んでも芽が出るが、秋以降に強く刈り込むと芽が出なくなってしまう」理由について一緒に考えていきましょう。

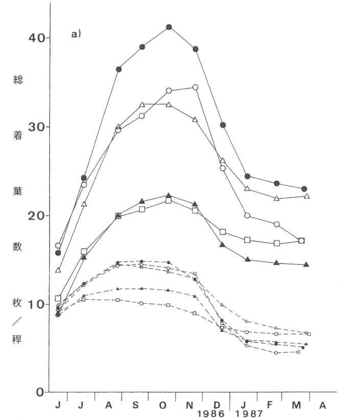
緑化植物としてのササ類より引用
この図は笹の地下茎が伸びる季節を表すグラフです。グラフによると笹の地下茎がよく伸びるのは、6月("J"une)から9月("S"eptember)にかけての季節でした。さらに前にも述べた通り、竹が落葉して新芽が成長するのは5月から6月にかけての間です。竹とよく似た植物である笹が竹と同じライフサイクルを持つと仮定した場合、笹の生態はこのようになります。

まず、新芽をつける季節が初夏なので、初夏に刈込を行っても笹は新芽を付けることに集中的に養分を使っているため、新しく芽を付け直すことは難しくありません。これで、初夏に刈込をしても芽を新たに付けられることは説明が付きそうです。
次に、秋以降に強く刈り込むと芽が出なくなってしまう理由について考えていきたいと思います。前の図で表したそれぞれのステップに養分を中心的に使うことを考えると、秋頃には養分は地下茎を成長させることに集中させており、新たな新芽をつける余裕はなさそうです。
これが、恐らく秋以降に刈込をおこなったら芽が付かない理由なのではないかとはしもとは考えました。(もしこの現象について詳しい読者の方がいらっしゃったら良かったらこっそり教えてくださいね( ;∀;))
最後に
今回の記事では社長が言っていたことの謎に迫っていきましたね!皆さんお楽しみいただけましたでしょうか?この考察を出すにあたって大変苦戦しました......😢
次の記事では笹の持つ不思議な力について迫っていきたいと思います。それでは皆様次の記事でお会いしましょう!
↓お庭のお手入れ・改修・設計などに関するご相談はこちらから↓
-------------------------------------------
株式会社大幸造園
TEL 075-701-5631
FAX 075-723-5717
HP https://daiko-zoen.com/
-------------------------------------------
